O uso de agonistas de GIP/GLP-1 como a tirzepatide tem se mostrado promissor no manejo do diabetes tipo 2, inclusive em pacientes com doença renal crônica avançada. Atualmente sabemos que esta medicação não necessita de ajuste para função renal, mas e nos pacientes em hemodiálise? Muda algo?
Ainda sem estudos randomizados específicos, vale a pena discutir os achados desse estudo observacional retrospectivo interessante publicado por Magagnoli J, et al. no Endocrinology, Diabetes & Metabolism. 2024 [[link](https://doi.org/10.1002/edm2.489)] 🔗
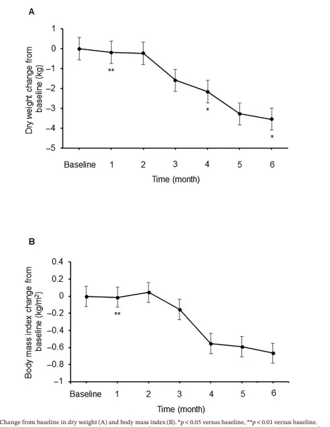
🔬 Estudo e população:
Um estudo retrospectivo japonês avaliou 9 pacientes com diabetes tipo 2 em hemodiálise, com idade mediana de 53 anos e tempo de diálise de 4 anos. Todos utilizaram tirzepatide semanal (2,5–7,5 mg) por mediana de 4 meses. A composição corporal foi avaliada por bioimpedância (InBody S10) no início e no final do estudo.
✅ Principais achados:
* Redução significativa da albumina glicada: de 22,7% para 18,3% (p=0,028)
* Redução do peso seco: –1,0 kg (p=0,024)
* Redução do IMC: –0,6 kg/m² (p=0,050)
* Redução da gordura corporal: –2,5% (sem significância estatística)
* Massa muscular preservada (sem alteração significativa no índice de massa muscular esquelética )

🚨 Segurança:
Não foram observados efeitos adversos graves, exceto náuseas transitórias. A tirzepatide não alterou significativamente a água corporal total nem a água extracelular, nem esteve associada a risco de desnutrição proteico-energética nos pacientes avaliados.
📌 Impacto clínico: A redução do peso foi atribuída majoritariamente à perda de gordura, e não de massa muscular, esse ponto é especialmente interessante uma vez que sabemos da fragilidade dos pacientes em diálise.
⚠️ Limitações:
* Pequeno número de pacientes
* Desenho retrospectivo
* Ausência de grupo controle
📖 Conclusão:
Tirzepatide se mostrou segura e eficaz para controle glicêmico e redução de gordura corporal em pacientes com DM2 em hemodiálise, sem afetar negativamente a massa muscular ou a composição hídrica. Embora mais estudos sejam necessários, os achados são animadores para uma população de difícil manejo.
Resumo para prescrição consciente:
* Indicação é off-label nesse grupo de pacientes
* Monitorar glicemia e náuseas
* Acompanhar composição corporal, peso seco e volume extracelular